Patterns of Motion

by Barry Carter



Psychic Observations

In 1907 C. W. Leadbeater wrote an article titled "KOILON--THE AETHER OF SPACE" which described the basic building blocks of the atom. This article was later included in Leadbeater and Besant's book OCCULT CHEMISTRY.

In this article Leadbeater described some micro-psychic observations of a phenomena which might correspond with a phenomena postulated in a number of modern quantum physical theories. He described bubbles in the aether which are the smallest "structure" of physical matter. These bubbles, in turn, are a component of a spiral structure which spirals around another coil and so on for seven levels of recursion. The entire structure is made up of these bubbles, strung like pearls, on a necklace looped in fractal coils.

http://subtleenergies.xyz/ormus/research/IMG00005.GIF

Here is a passage from OCCULT CHEMISTRY which describes these structures in Leadbeater's own words:

To help us to understand more clearly let us examine the ultimate atom of the physical plane. (See Figs. 3 and 6.) It is composed of ten rings or wires, which lie side by side, but never touch one another. If one of these wires be taken away from the atom, and as it were untwisted from its peculiar spiral shape and laid out on a flat surface, it will be seen that it is a complete circle--a tightly twisted endless coil. This coil is itself a spiral containing 1,680 turns; it can be unwound. and it will then make a much larger circle. There are in each wire seven sets of such coils or spirillae, each finer than the preceding coil to which its axis lies at right angles. The process of unwinding them in succession may be continued until we have nothing but an enormous circle of the tiniest imaginable dots lying like pearls upon an invisible string. These dots are so inconceivably small that many millions of them are needed to make one ultimate physical atom. They appear to be the basis of all matter of which we at present know anything; astral. mental and buddhic atoms also are built of them, so we may regard them as the fundamental units of which all material atoms on any plane yet attainable are composed.

These units are all alike, spherical and absolutely simple in construction. Though they are the basis of all matter, they are not themselves matter; they are not blocks but bubbles. They do not resemble bubbles floating in the air, which consist of a thin film of water separating the air within them from the air outside, so that the film has both an outer and an inner surface. Their analogy is rather with the bubbles that we see rising in water, bubbles which may be said to have only one surface--that of the water which is pushed back by the confined air. Just as the bubbles are not water, but are precisely the spots from which water is absent, so these units are not koilon but the absence of koilon--the only spots where it is not--specks of nothingness floating in it, so to speak, for the interior of these space-bubbles is an absolute void to the highest power of vision that we can turn upon them.

Modern quantum physics often describes fundamental building blocks of matter as the vectors of motion of packets of energy. If we were to consider Leadbeater's observations to be a description of the vectors of motion of a fundamental packet of energy these observations would seem to be congruent with several concepts proposed in recent theories by various physicists.

These concepts include superstring theory, quantum foam, mini-black holes, TGD throats, and spin-field theories. As you can see from the picture above these would clearly be string like structures.

Quantum foam, mini-black holes and TGD throats might all relate to the bubbles in the aether suggested by Leadbeater. These bubbles would, in effect, be spinning connectors between space-time sheets.

The vector motion of the coils suggests vortex type forces as implied by spin-field theories. It might help to visualize this concept by thinking of the absolute motion of a person standing on the earth. A person standing on the earth would be describing a circle around the axis of the earth while the earth itself would be circling the sun. At the same time, the sun would be circling the center of the galaxy. Because of the additional motion of the earth and the sun, the motion of the person would not actually be a circle but would rather be a nested spiral like the nested spirals pictured above.
 

Vortex Motion

A fluid vortex has some very unusual properties. One of these properties is that there is an outer vortex which goes in one direction and an inner vortex which goes in the opposite direction. An inner vortex can be seen in the following image of a water vortex:


http://subtleenergies.xyz/ormus/research/Vortex.jpg

In the image above, there are several vectors of motion. Here is a diagram of these vectors:

In both of these images the fluid (water) enters from the bottom left. This fluid is directed at a tangent to the circumference of the horizontal tube. This vector directs the fluid in a circular motion into the tube. The second vector is the flow toward the opening on the right end of the tube. This flow is converted to a vortex spiral by the circular motion imparted by the first vector. At the right end of the tube there is a conical reflector which imparts the third vector--a reverse flow back toward the inlet and out the left end of the tube.
 

Black Hole Jets

At the largest scales astronomers have recently observed a very unusual astrophysical phenomenon. Very massive and rapidly spinning objects such as black holes, neutron stars and galaxies with central black holes have been observed to have axial jets of matter, x-rays and gamma rays emerging from their poles. These energy and matter jets emerge from the axis of these objects perpendicular to their rotation. They clearly are a force opposing gravity.

Black Hole Jets

If there is another source of matter nearby such as in a binary system where one of the stars has become a black hole and the other remains as a light emitting star a disk of gaseous matter will form around the black hole. This is called an accretion disk. This disk feeds matter and energy into the black hole so that the energy flows and patterns become visible. See: http://science.msfc.nasa.gov/newhome/headlines/ast11jun97_1.htm for info on these systems.

In the vortex tube analogy, the light emitting companion star would be equivalent to the fluid source at the bottom of the vortex tube and the jets would be the fluid emerging from both ends of the tube.

If we postulate that the mini-black holes, observed by Leadbeater, have a spin and that this spin contributes to the vortex shaped fractal coils, also observed by Leadbeater, how might this be analogous to the energy flows and vectors in a massive black hole?

It looks like the massive black holes are both absorbing and emitting energy. They absorb matter/energy from the accretion disk and emit energy from their polar jets. Some physicists have hypothesized that the fundamental subatomic structures also absorb and emit energy. They have postulated mini-black holes and mini-white holes to fill both roles. I think that it might be reasonable to postulate both roles in a single structure.

What about the concept that something enters and leaves our universe in each type of black hole? What powers the attractive and repulsive forces in the subatomic structures and in the massive black holes?
 

Compton Radius Vortex

These patterns of motion also apply at the smallest scales. The motion of subatomic particles like electrons can be described as a vortex (which is an outer spiral with an inner return spiral). Here is a drawing of the Compton radius vortex of the electron  from Tony Smith’s web page:

Compton Radius Vortex

Tony suggests that the energy of the electron and gravity itself arise from zero point fluctuations within the Compton radius vortex.

Note that these images are also taken from Occult Chemistry.


Spin Coherence

If we expand our vortex tube analogy so that the input energy vector comes from another space/time sheet (through the zero point) I think we can start to explain some of the properties observed in the ORMUS materials.

We know that energy in opposition to gravity is emitted from the poles of a very large spinning black hole. The energy vector of a very large spinning object is virtually on a single plane. One might say that it is coherent within that plane. The energy vector of the spinning Earth is not coherently planar but, rather, is a combination of vectors forming a recursive spiral configuration like the motion of a particle following a string of the coil illustrated above.

If the Earth were spinning very rapidly, its spin would be much closer to a planar spin. If it were much more massive, it could sustain such a rapid spin without falling apart from centrifugal forces. If spin mass/density coherence is a necessary factor in the anti-gravity force emitted from the poles of a massive black hole then this spin density coherence would not be evident in an object with the density and spiral spin vector of the Earth.
 

Podkletnov Effect

It might be possible, however, to create this kind of spin density coherence in a spinning superconductor.

In the early 1990s Eugene E. Podkletnov, a Russian materials scientist then at Tampere University of Technology in Finland, reported gravity-attenuation effects in his experiments with spinning superconductors. He reported that gravity is attenuated above a spinning superconductor. You can read more about Podkletnov's experiment and its replication on the following web pages:

http://www.inetarena.com/~noetic/pls/gravity.html

http://www.innerx.net/personal/tsmith/BWantigrav.html

http://www.padrak.com/ine/PODKLETNOV.html

http://www.gravity.org/fur.htm

The gravity attenuation effects seem to be related to the rate of spin of the superconductor and the frequency of the electromagnetic field which was magnetically levitating it. According to Podkletnov's paper (See: http://www.inetarena.com/~noetic/pls/Papers/pc203.htm ), "[t]he shielding force depends on the rotational speed of the disk and has a tendency to increase with the speed of rotation." A non-rotating superconductor would still have a very small gravity attenuating effect. ("The sample with the initial weight of 5.47834 g was found to loose about 0.05% of its weight when placed over the levitating disk without any rotation.")

So, from Podkletnov's observations we have two facts to explain. 1) The faster the spin, the greater the attenuation of gravity above the spinning superconductor. 2) A very weak attenuation of gravity above a non-spinning superconductor.
 

ORMUS Observations

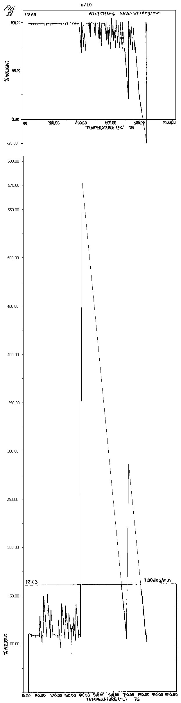
David Hudson measured a weight increase of about 575% of beginning weight in an m-state iridium sample and a weight decrease of about 25% less than no weight at all in the same sample. I have extended the lines on the chart recordings in Hudson's patent to give a graphic representation of these weight fluctuations of his m-iridium sample:

Weight Fluctuations

These weight swings occurred after several heating and cooling cycles in which smaller fluctuations occurred.

These weight changes occurred as the sample was being slowly heated to approximately 850 degrees Celsius inside a bifilar wound tube furnace.

Another researcher claims that he took pure m-state iridium and mixed it with porcelain pottery clay at about a ten to one ratio. He fired this as a clay disk and found that it would levitate if it were spun. Later he "annealed" this same clay disk by heating it to around 800 degrees Celsius and letting it cool about ten to fifteen times. This disk levitated without spinning. Anything put directly over the disk became weightless as well.

This last observation appears to be an extreme example of the Podkletnov effect. From these and other observations we suspect that ORMUS iridium is a superconductor at temperatures exceeding room temperature.

Superconductivity is considered to be a Bosonic property. This means that superconductors have some of the properties of a Bose-Einstein condensate (BEC).

A Bose-Einstein Condensate is a group of atoms which are all in the same quantum state. Such a group of atoms consequently behaves, in some ways, as a single atom. Superconductors are a form of BECs and so are superfluids.

You can read a simple description of what BECs are and how they work on the BEC homepage.

Here is an explanation of how BECs, superconductors and Cooper pairing inter-relate from the American Institute of Physics web page titled BECs, superconductors, and Cooper pairing:

Since the m-state iridium atoms are capable of responding coherently, when they are spun in a magnetic field, they all might align so that their spin axis is perpendicular to the Earth's magnetic field. This would orient all of the axial anti-gravity energies toward the center of the Earth.

When they are repeatedly annealed in a strong magnetic field, they "take a set" and this orientation becomes permanent.

Coherent atomic spin in objects within the magnetic vortex above the spinning superconductor might be induced by the spinning superconductor. This coherent spin might be related to the anti-gravity effect that Podkletnov reported. I have seen levitation effects as a result of spinning a magnet under certain m-state materials. I have placed a "movie" of this phenomenon on my web site. This movie is a 2,554kb file and can be downloaded at:

http://subtleenergies.xyz/ormus/tw/JumpingAu.wmv